nlmefit
Fit nonlinear mixed-effects estimation
Syntax
Description
Examples
Load some nonlinear sample data and display the variables.
load nonlineardata.mat
[X,y,group]ans = 30×5
8.1472 0.7060 75.1267 573.4851 1.0000
9.0579 0.0318 25.5095 188.3748 1.0000
1.2699 0.2769 50.5957 356.7075 1.0000
9.1338 0.0462 69.9077 499.6050 1.0000
6.3236 0.0971 89.0903 631.6939 1.0000
0.9754 0.8235 95.9291 679.1466 1.0000
2.7850 0.6948 54.7216 398.8715 1.0000
5.4688 0.3171 13.8624 109.1202 1.0000
9.5751 0.9502 14.9294 207.5047 1.0000
9.6489 0.0344 25.7508 190.7724 1.0000
1.5761 0.4387 84.0717 593.2222 1.0000
9.7059 0.3816 25.4282 203.1922 1.0000
9.5717 0.7655 81.4285 634.8833 1.0000
4.8538 0.7952 24.3525 205.9043 1.0000
8.0028 0.1869 92.9264 663.2529 1.0000
⋮
V
V = 2×1
2
3
X is a matrix of predictor data and y is a vector containing the response variable. group and V, respectively contain data for a grouping variable and group predictor.
Create an anonymous nonlinear function that accepts a vector of coefficients, a matrix of predictor data, and a vector of group predictor data.
model = @(PHI,XFUN,VFUN)(PHI(1).*XFUN(:,1).*exp(PHI(2).*XFUN(:,2)./VFUN)+PHI(3).*XFUN(:,3))
model = function_handle with value:
@(PHI,XFUN,VFUN)(PHI(1).*XFUN(:,1).*exp(PHI(2).*XFUN(:,2)./VFUN)+PHI(3).*XFUN(:,3))
model is a handle for a function given by the formula
.
Use the stochastic EM algorithm to fit model to the data in X, y, group, and V. Use a vector of ones as the initial estimate for the fixed-effects coefficients.
beta = nlmefitsa(X,y,group,V,model,[1 1 1])

beta = 3×1
1.0008
4.9980
6.9999
The output shows the progress of estimating the fixed effects and the elements of the random-effects covariance matrix, as well as the final fixed-effect estimates beta. In each plot, the horizontal axis shows the iteration step and the vertical axis shows the value of the estimation.
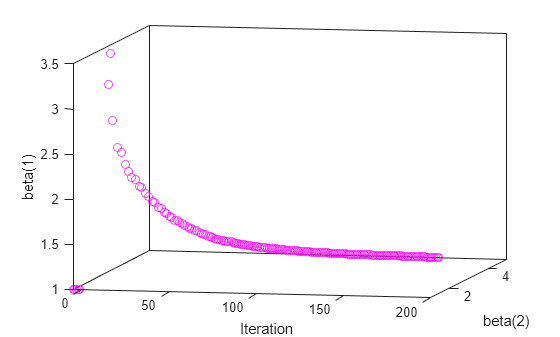
Load some nonlinear sample data.
load nonlineardata.mat;X is a matrix of predictor data and y is a vector containing the response variable. group and v, respectively contain data for a grouping variable and group predictor.
Create an anonymous nonlinear function that accepts a vector of coefficients, a matrix of predictor data, and a vector of group predictor data.
model = @(PHI,XFUN,VFUN)(PHI(1).*XFUN(:,1).*exp(PHI(2).*XFUN(:,2)./VFUN)+PHI(3).*XFUN(:,3));
model is a handle for a function given by the formula .
Define an output function for nlmefit. For more information about the form of the output function, see the OutputFcn field description for the Options name-value argument.
function stop = outputFunction(beta,status,state) stop = 0; hold on plot3(status.iteration,beta(2),beta(1),"mo") state = string(state); if state=="done" stop=1; end end
outputFunction is a function that plots the iteration number for the fitting algorithm together with the first and second fixed effects. outputFunction returns 1 when the fitting algorithm has completed its final iteration.
Use the statset function to create an options structure for nlmefitsa that uses outputFunction as its output function.
default_opts=statset("nlmefit");
opts = statset(default_opts,OutputFcn=@outputFunction);opts is a statistics options structure that contains options for the stocastic expectation maximization fitting algorithm.
Create a figure and define axes for outputFunction to plot into. Fit model to the predictor data in X and the response data in y using the options in opts.
figure ax = axes(view=[12,10]); xlabel("Iteration") ylabel("beta(2)") zlabel("beta(1)") box on [beta,psi,stats] = nlmefitsa(X,y,group,V,model,[1 1 1],Options=opts)

beta = 3×1
1.0008
4.9980
6.9999
psi = 3×3
10-4 ×
0.0415 0 0
0 0.2912 0
0 0 0.0004
stats = struct with fields:
logl: []
aic: []
bic: []
sebeta: []
dfe: 23
covb: []
errorparam: 0.0139
rmse: 0.0012
ires: [30×1 double]
pres: [30×1 double]
iwres: [30×1 double]
pwres: [30×1 double]
cwres: [30×1 double]
nlmefit calls outputFunction after every iteration of the fitting algorithm. The figure shows that the fixed effects beta(1) and beta(2) are near 1 when the iteration number is near 0. This is consistent with the initial values for beta. As the iteration number increases, beta(1) makes a large jump up to around 3.3 before converging to 1. As beta(1) converges to 1, beta(2) converges to 5. The output argument beta contains the final values for the fixed effects. psi and stats, respectively, contain the covariance matrix for the random effects and additional statistics about the fit.
Load the indomethacin data set.
load indomethacinThe variables time, concentration, and subject contain timeseries data for the blood concentration of the drug indomethacin in six patients.
Create an anonymous nonlinear function that accepts a vector of coefficients and a vector of predictor data.
model = @(phi,t)(phi(1).*exp(-phi(2).*t)+phi(3).*exp(-phi(4).*t));
model is a handle for a function given by the formula
,
where is the concentration of indomethacin, for are coefficients, and is time.The function does not contain group-specific predictor variables because they are not present in the formula.
Fit the model to the data using time as the predictor variable, subject as the grouping variable, and concentration as the response. Specify a log transformation function for the second and fourth coefficients.
phi0 = [1 1 1 1];
xform = [0 1 0 1];
[beta,psi,stats,b] = nlmefit(time,concentration, ...
subject,[],model,phi0,ParamTransform=xform)beta = 4×1
2.8277
0.7729
0.4606
-1.3459
psi = 4×4
0.3264 0 0 0
0 0.0250 0 0
0 0 0.0124 0
0 0 0 0.0000
stats = struct with fields:
dfe: 57
logl: 54.5882
mse: 0.0066
rmse: 0.0787
errorparam: 0.0815
aic: -91.1765
bic: -93.0506
covb: [4×4 double]
sebeta: [0.2558 0.1066 0.1092 0.2244]
ires: [66×1 double]
pres: [66×1 double]
iwres: [66×1 double]
pwres: [66×1 double]
cwres: [66×1 double]
b = 4×6
-0.7396 -0.0704 0.8004 -0.5654 0.4127 0.1624
0.0279 0.0287 0.0040 -0.2315 0.1984 -0.0276
-0.1111 0.0871 0.0670 0.0115 -0.1315 0.0769
0 0 0 0 0 0
The output argument beta contains the fixed effects for the model, and b contains the random effects. The plots show the progress of the Monte Carlo simulation used to fit the coefficients. The maximum likelihood estimates for beta and the random-effects covariance matrix psi converge after about 300 iterations.
Plot the sample data together with the model, using only the fixed effects in beta for the model coefficients. Use the gscatter function to color code the data according to the subject. To reverse the log transformation on the second and fourth coefficients, take their exponentials using the exp function.
figure hold on gscatter(time,concentration,subject); phi = [beta(1),exp(beta(2)),beta(3),exp(beta(4))]; tt = linspace(0,8); cc = model(phi,tt); plot(tt,cc,LineWidth=2,Color="k") legend("subject 1","subject 2","subject 3",... "subject 4","subject 5","subject 6","fitted curve") xlabel("Time (hours)") ylabel("Concentration (mcg/ml)") title("Indomethacin Elimination") hold off

The plot shows that the blood concentration of indomethacin decreases over eight hours and the fitted model passes through the bulk of the data.
Plot the data together with the model again, using both the fixed effects and the random effects in b for the model coefficients. For each subject, plot the data and the fitted curve in the same color.
figure hold on h = gscatter(time,concentration,subject); for j=1:6 phir = [beta(1)+b(1,j),exp(beta(2)+b(2,j)), ... beta(3)+b(3,j),exp(beta(4)+b(4,j))]; ccr = model(phir,tt); col = h(j).Color; plot(tt,ccr,Color=col) end legend("subject 1","subject 2","subject 3",... "subject 4","subject 5","subject 6",... "fitted curve 1","fitted curve 2","fitted curve 3",... "fitted curve 4","fitted curve 5","fitted curve 6") xlabel("Time (hours)") ylabel("Concentration (mcg/ml)") title("Indomethacin Elimination") hold off

The plot shows that, for each subject, the fitted curve follows the bulk of the data more closely than the curve for the fixed-effects model in the previous figure. This result suggests that the random effects improve the fit of the model.
Input Arguments
Predictor variables, specified as an n-by-h numeric matrix, where n is the number of observations and h is the number of predictor variables.
Data Types: single | double
Response variable, specified as a numeric vector with n elements, where n is the number of observations.
Data Types: single | double
Grouping variable, specified as a numeric, categorical, or string vector, or a cell array of character vectors.
Example: ["subject1" "subject4" "subject3"…"subject3" "subject2"]
Example: [ones(50,1);2*ones(50,1);3*ones(50,1)]
Data Types: double | single | string | cell | categorical
Group predictor variables, specified as a numeric matrix or cell array. Group predictor variables are variables that have the same value for all observations in a group.
If the group-specific predictor variables are the same size across groups, specify
Vas an m-by-g matrix, where m is the number of groups and g is the number of group predictor variables.If the group-specific predictor variables vary in size across groups, specify
Vas an m-by-g cell array.If you do not have group predictor variables, specify
Vas[].
Example: [1 2; 2 4; 5 2; 7 1; 4 5; 3 6]
Data Types: single | double | cell
Model function, specified as a function handle. If
V is empty, the function can have the form yfit =
modelfun(phi,xfun). Otherwise, it must have the form yfit =
modelfun(phi,xfun,vfun).
| Argument | Description |
|---|---|
phi |
An array of model coefficients. The size of
|
xfun |
An array of predictor variables. The size of
|
vfun |
An array of group predictor variables. The size of
If |
yfit | Fitted response values. yfit contains an element for each row in
xfun. |
For improved performance, allow modelfun to accept predictor
variables for multiple observations and specify the Vectorization name-value
argument as "SingleGroup" or "Full".
Example: model =
@(phi,xfun,vfun)(phi(:,1).*exp(vfun(:,1).*xfun(:,1))+log(phi(:,2).*xfun(:,2)./vfun(:,1)));
beta = nlmefit(X,y,group,V,model,[1 1 1]);
Data Types: function_handle
Initial fixed-effects values, specified as a numeric vector or matrix.
If
beta0is a vector, its size must be equal to the number of fixed effects.If
beta0is a matrix, it must have as many rows as the number of model coefficients. For each column inbeta0,nlmefitrepeats the estimation of the fixed effects using the column entries as the initial fixed-effects values.
Example: [1 1 1 1]
Data Types: single | double
Name-Value Arguments
Specify optional pairs of arguments as
Name1=Value1,...,NameN=ValueN, where Name is
the argument name and Value is the corresponding value.
Name-value arguments must appear after other arguments, but the order of the
pairs does not matter.
Example: nlmefit(X,y,group,v,model,[1 1
1],Replicates=2,Vectorization="SingleGroup") specifies for
nlmefit to estimate the model function parameters twice using the
same starting point, and to pass the sample data to the model function in batches
corresponding to each group.
Fixed and Random Effects
Fixed-effects coefficients, specified as a numeric or logical vector. This argument indicates which coefficients in the model function input argument phi contain a fixed effect. For more information about the model function, see modelfun. By default, all the elements of phi contain fixed effects.
When you specify FEParamsSelect, you cannot specify
FEConstDesign, FEGroupDesign, or
FEObsDesign.
Example: FEParamsSelect=[1 0 1 1]
Data Types: single | double | logical
Fixed-effects
design matrix, specified as a p-by-f design matrix.
p is the number of coefficients in the model function input argument
phi, and f is the number of fixed effects. For more
information, see modelfun and Mixed-Effects Model Hierarchy.
When you specify FEConstDesign, you cannot specify
FEParamsSelect, FEGroupDesign, or
FEObsDesign.
Example: FEConstDesign=[0.1 0.5; 3 0.7; 0.8 2; 4 8] specifies a
design matrix for four model parameters and two fixed effects
Data Types: single | double
Fixed-effects group design matrices, specified as a
p-by-f-by-m array of design
matrices. p is the number of coefficients in the model function input
argument PHI, f is the number of fixed effects, and
m is the number of groups specified by group.
FEGroupDesign specifies a different
p-by-f design matrix for each of the
m groups.
When you specify FEGroupDesign, you cannot specify
FEConstDesign, FEParamsSelect, or
FEObsDesign.
Example: A(:,:,1) = [0.1 0.5; 3 0.7; 0.8 2]; A(:,:,2) = ones(3,2);
FEGroupDesign=A specifies a design matrix for three model parameters, two
fixed effects, and two groups
Data Types: single | double
Fixed-effects observation design matrices, specified as
p-by-f-by-n array of design
matrices. p is the number of coefficients in the model function
input argument PHI, f is the number of fixed
effects, and n is the number of observations specified by
X and y. FEObsDesign
specifies a different p-by-f design matrix for
each of the n observations.
When you specify FEObsDesign, you cannot specify
FEGroupDesign, FEConstDesign, or
FEParamsSelect.
Example: A(:,:,1) = [0.1 0.5; 3 0.7; 0.8 2];...; A(:,:,n) = ones(3,2);
FEObsDesign=A specifies a design matrix for three model parameters, two
fixed effects, and n observations
Data Types: single | double
Random-effects coefficients, specified as a numeric or
logical vector. This argument indicates which coefficients in the model function input argument
PHI contain a random effect. For more information about the model
function, see modelfun. By default, all the elements of
PHI contain random effects.
When you specify REParamsSelect, you cannot specify
REConstDesign, REGroupDesign, or
REObsDesign.
Example: FEParamsSelect=[0 0 1 1]
Data Types: single | double | logical
Random-effects design matrix, specified as a p-by-r
numeric matrix. p is the number of coefficients in the model function input
argument phi, and r is the number of random effects. For
more information, see modelfun and Mixed-Effects Model Hierarchy.
When you specify REConstDesign, you cannot specify
REParamsSelect, REGroupDesign, or
REObsDesign.
Example: REConstDesign=[1 0 2 1; 3 1 0 0; 0 0 1 0] specifies a
design matrix for three parameters and four random effects.
Data Types: single | double
Random-effects group design matrices, specified as
p-by-r-by-m array of design
matrices. p is the number of coefficients in the model function
input argument PHI, r is the number of random
effects, and m is the number of groups specified by
group. REGroupDesign specifies a different
p-by-r design matrix for each of the
m groups.
When you specify REGroupDesign, you cannot specify
REConstDesign, REParamsSelect, or
REObsDesign.
Example: A(:,:,1) = [0.1 0.5; 3 0.7; 0.8 2]; A(:,:,2) = ones(3,2);
REGroupDesign=A specifies a design matrix for three model parameters, two
random effects, and two groups
Data Types: single | double
Random-effects observation design matrices, specified as
p-by-r-by-n array of design
matrices. p is the number of coefficients in the model function
input argument PHI, r is the number of random
effects, and n is the number of observations specified by
X and y. REObsDesign
specifies a different p-by-r design matrix for
each of the n observations.
When you specify REObsDesign, you cannot specify
REGroupDesign, REConstDesign, or
REParamsSelect.
Example: A(:,:,1) = [0.1 0.5; 3 0.7; 0.8 2];...; A(:,:,n) = ones(3,2);
FEObsDesign=A specifies a design matrix for three model parameters, two
fixed effects, and n observations
Data Types: single | double
Iterative Algorithm
Method for approximating the likelihood of the model, specified as one of the following:
"LME"— Likelihood for the linear mixed-effects model at the current conditional estimates ofbetaandb"RELME"— Restricted likelihood for the linear mixed-effects model at the current conditional estimates ofbetaandb"FO"— First-order Laplacian approximation without random effects"FOCE"— First-order Laplacian approximation at the conditional estimates ofb
The conditional estimates for beta and
b are calculated using the current estimates of the parameters
in the covariance matrix for b.
Example: ApproximationType="FO"
Data Types: string | char
Parametrization for the scaled covariance matrix, specified as one of the following:
"logm"— Matrix logarithm"chol"— Cholesky factorization
Example: CovParameterization="chol"
Data Types: string | char
Random-effects covariance matrix pattern, specified as an
r-by-r identity, numeric, or logical matrix,
or a 1-by-r vector of integers, where r is the
number of random effects. nlmefit calculates variance and
covariance estimates for the random effects specified by
CovPattern. For more information, see
psi.
When
CovPatternis a matrix, each off-diagonal element corresponds to a pair of random effects, and each element along the diagonal corresponds to the variance for a single random effect.nlmefitcalculates variance and covariance estimates for the random effects corresponding to the nonzero elements ofCovPattern. Zero elements inCovPatternindicate that the variances and covariances are constrained to zero.If
CovPatternis not a row-column permutation of a block diagonal matrix,nlmefitautomatically adds nonzero elements to produce such a pattern.When
CovPatternis a vector, elements with equal values define groups of random effects. In addition to variances,nlmefitcalculates covariance estimates for pairs of random effects within groups, and constrains covariances across groups to zero.
The default value for CovPattern is an
r-by-r identity matrix, which corresponds to
uncorrelated random effects.
Example: CovPattern=ones(3)
Example: CovPattern=[1 1 2]
Data Types: single | double | logical
Model for the error term, specified as a string scalar or character vector containing the
model name. nlmefit stores the parameter values for the error
model in the errorparam field of the stats
output argument.
| Model Name | Formula | stats.errorparam |
|---|---|---|
"constant" |
| a |
"proportional" |
| b |
"combined" |
| [a,b] |
"exponential" |
| a |
In the above table, is the response variable y, is the fitted model, and and are model parameters.
Example: ErrorModel="exponential"
Data Types: string | char
Optimization function for maximizing the likelihood function, specified as "fminsearch" or "fminunc".
"fminsearch"— Uses a direct search method involving function evaluations only. For more information, seefminsearch."fminunc"— Uses gradient methods. This option, which requires Optimization Toolbox, is generally more efficient. For more information, seefminunc(Optimization Toolbox).
For more information about the nlmefit fitting algorithm, see Algorithms.
Example: OptimFun="fminunc"
Data Types: string | char
Options,
specified as a statistics options structure returned by the statset function. The structure contains the following fields.
| Field | Description |
|---|---|
DerivStep |
Relative difference used in the finite difference gradient
calculation, specified as a positive scalar, or as a vector of the same
length as the |
Display |
Option to display algorithm information, specified as one of the following:
|
FunValCheck |
Flag to check for invalid values returned by the model function, specified as one of the following.
|
OutputFcn |
Output function, specified as a function handle or a cell array of
function handles.
The default output function plots the progress of the fitting algorithm for estimating the fixed effects, and plots the random-effects variances. |
Streams | Streams used by nlmefit when generating random
numbers, specified as a RandStream object. The default
is the current global stream. |
TolX | Termination tolerance for the fixed- and random-effects estimates. The
default is 1e-4. |
Example: Options=statset("nlmefit")
Data Types: struct
Coefficient transformation function for the model function, specified as a vector of integers between 0 and 3, inclusive. ParamTransform must have the same number of elements as the model function input argument PHI. For more information about the model function, see modelfun.
The coefficients for the model function are given by
where and are the original and transformed model coefficients, respectively. and are the design matrices for the fixed and random effects and , respectively. The value of ParamTransform
indicates the form of the transformation function according to the following scheme.
| Value | Function |
|---|---|
0 |
|
1 |
|
2 |
|
3 |
|
For more information about the fixed-effects design matrix, see
FEConstDesign and FEGroupDesign. For more
information about the random-effects design matrix, see
REConstDesign.
Example: ParamTransform=[0 1 0]
Data Types: single | double
Flag to refine initial fixed-effects values, specified as "on"
or "off". When RefineBeta0 is
"on", nlmefit first fits the model
without random effects, then replaces beta0 with the fitted
fixed-effects.
Example: RefineBeta0="on"
Data Types: string | char
Size of the model function inputs, specified as a string scalar or character vector
with one of the following values. For more information about the model function inputs,
see modelfun.
| Value | Description |
|---|---|
"SinglePhi" |
The
model function calculates |
"SingleGroup" |
The model function calculates
|
"Full" |
The model function calculates
|
If V is an empty array,
nlmefit calls the model function with two inputs.
Example: Vectorization="SingleGroup"
Data Types: string | char
Output Arguments
Fixed-effects coefficient estimates, returned as a numeric vector or an
f-by-k matrix. f is the
number of fixed effects and k is the number of estimates specified by
Replicates.
Data Types: single | double
Random-effects covariance matrices, returned as an
r-by-r numeric matrix or an
r-by-r-by-k array of
numeric matrices. r is the number of random effects and
k is the number of estimates specified by
Replicates.
Data Types: single | double
Fitting information, returned as a structure with the following fields.
| Field | Description |
|---|---|
logl | Maximized loglikelihood for the fitted model. This field is empty
if the LogLikMethod name-value argument is
"none" during fitting. |
rmse | Square root of the estimated error variance.
nlmefit calculates
rmse on the log scale when the
ErrorModel name-value argument is
"exponential" during fitting. |
errorparam | Estimated parameters of the error model specified by the
ErrorModel name-value argument during
fitting. |
aic | Akaike information criterion (AIC). This field is empty if the
LogLikMethod is name-value argument is
"none" during fitting.
nlmefit calculates the AIC as aic =
-2*logl+2*numParam, where logl is the maximized
loglikelihood for the fitted model, and numParam
is the number of fitting parameters. The fitting parameters include
the degrees of freedom for the random-effects covariance matrix, the
number of fixed effects, and the number of parameters in the error
model. |
bic | Bayesian information criterion (BIC).
This field is empty if the
|
sebeta | Standard errors for the fixed-effects estimates in
beta. This field is empty if the
ComputeStdErrors name-value argument is
false during fitting. |
covb | Estimated covariance matrix for the fixed-effects estimates
in |
dfe | Error degrees of freedom |
pres | Population residuals, given by |
ires | Individual residuals, given by |
pwres | Population weighted residuals |
cwres | Conditional weighted residuals |
iwres | Individual weighted residuals |
Data Types: struct
Random-effects estimates, returned as an r-by-m
numeric matrix or an
r-by-m-by-k array of
numeric matrices. r is the number of random effects,
m is the number of groups specified by
group, and k is the number of replicates
specified by Replicates.
Data Types: single | double
Algorithms
nlmefit fits the model by maximizing an estimate of the marginal
likelihood with the random effects integrated out. During fitting, the function makes the
following assumptions:
The random effects come from a multivariate normal distribution and are independent between groups.
The observation errors are independent, come from the same normal distribution, and are independent of the random effects. To change this default assumption, specify the
ErrorModelname-value argument.
References
[1] Lindstrom, M. J., and D. M. Bates. “Nonlinear mixed-effects models for repeated measures data.” Biometrics. Vol. 46, 1990, pp. 673–687.
[2] Davidian, M., and D. M. Giltinan. Nonlinear Models for Repeated Measurements Data. New York: Chapman & Hall, 1995.
[3] Pinheiro, J. C., and D. M. Bates. “Approximations to the log-likelihood function in the nonlinear mixed-effects model.” Journal of Computational and Graphical Statistics. Vol. 4, 1995, pp. 12–35.
[4] Demidenko, E. Mixed Models: Theory and Applications. Hoboken, NJ: John Wiley & Sons, Inc., 2004.
Version History
Introduced in R2008b
MATLAB Command
You clicked a link that corresponds to this MATLAB command:
Run the command by entering it in the MATLAB Command Window. Web browsers do not support MATLAB commands.
Select a Web Site
Choose a web site to get translated content where available and see local events and offers. Based on your location, we recommend that you select: .
You can also select a web site from the following list
How to Get Best Site Performance
Select the China site (in Chinese or English) for best site performance. Other MathWorks country sites are not optimized for visits from your location.
Americas
- América Latina (Español)
- Canada (English)
- United States (English)
Europe
- Belgium (English)
- Denmark (English)
- Deutschland (Deutsch)
- España (Español)
- Finland (English)
- France (Français)
- Ireland (English)
- Italia (Italiano)
- Luxembourg (English)
- Netherlands (English)
- Norway (English)
- Österreich (Deutsch)
- Portugal (English)
- Sweden (English)
- Switzerland
- United Kingdom (English)