RANS turbulent channel flow
RANS simulation of a turbulent flow through a channel
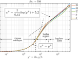
An incompressible fully developed turbulent flow is considered in a channel (statistically stationary and homogeneous in directions parallel to the wall). The numerical code compares different characteristic properties of a turbulent flow, e.g., mean velocity profiles <math-renderer class="js-inline-math" style="display: inline" data-static-url="https://github.githubassets.com/static" data-run-id="d980d488c0e3c8e8bad1cb858ffd1997">$U/u_\tau$</math-renderer>, turbulent kinetic energy <math-renderer class="js-inline-math" style="display: inline" data-static-url="https://github.githubassets.com/static" data-run-id="d980d488c0e3c8e8bad1cb858ffd1997">$k/u_\tau^2$</math-renderer>, dissipation <math-renderer class="js-inline-math" style="display: inline" data-static-url="https://github.githubassets.com/static" data-run-id="d980d488c0e3c8e8bad1cb858ffd1997">$\epsilon/(u_\tau^3/h)$</math-renderer>, turbulent viscosity profiles <math-renderer class="js-inline-math" style="display: inline" data-static-url="https://github.githubassets.com/static" data-run-id="d980d488c0e3c8e8bad1cb858ffd1997">$\nu_T/(u_\tau h)$</math-renderer>, for various turbulent Reynolds numbers Re <math-renderer class="js-inline-math" style="display: inline" data-static-url="https://github.githubassets.com/static" data-run-id="d980d488c0e3c8e8bad1cb858ffd1997">$_\tau$</math-renderer> = {180, 550, 950, 2000} using different turbulence models:
- Length mixing,
- TKE,
- k-epsilon.
Additionaly, I have included the report that I wrote (in spanish) along the numerical code.
Numerical models implemented:
| Models | Transport eqs. |
|---|---|
| Length mixing | 0 |
| TKE | 1 |
| k-epsilon | 2 |
Database
Data extracted from direct numerical simulations of a fully developed plane turbulent channel flow.
URL: http://torroja.dmt.upm.es/channels/data/
| DNS data |
|---|
| Re_tau = 180 |
| Re_tau = 550 |
| Re_tau = 950 |
| Re_tau = 2000 |
Cite As
Alberto Cuadra Lara (2025). RANS turbulent channel flow (https://github.com/AlbertoCuadra/RANS_turbulent_channel_flow/releases/tag/v1.1.3), GitHub. Retrieved .
MATLAB Release Compatibility
Platform Compatibility
Windows macOS LinuxTags
Community Treasure Hunt
Find the treasures in MATLAB Central and discover how the community can help you!
Start Hunting!Discover Live Editor
Create scripts with code, output, and formatted text in a single executable document.
mesh
settings
turbulent_models/0-mixing
turbulent_models/1-tke
turbulent_models/2-k-epsilon
turbulent_models/2-k-omega
turbulent_models/functions
| Version | Published | Release Notes | |
|---|---|---|---|
| 1.1.3 | See release notes for this release on GitHub: https://github.com/AlbertoCuadra/RANS_turbulent_channel_flow/releases/tag/v1.1.3 |
||
| 1.1.2 |
